青海2025年高考尚未开始,一分一段表尚未出炉。高考“一分一段表”是考生填报志愿的核心工具,其核心功能是通过分数排名帮助考生精准定位竞争位置。小编在下文整理了2024年青海高考一分一段成绩排名表,供各位2025青海高考生参考。

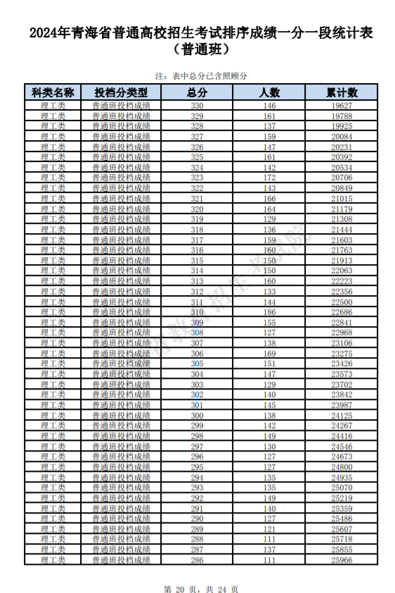
一分一段表是各省教育考试院发布的全省同科类考生分数排名统计表,以1分为单位,统计每个分数对应的考生人数(本段人数)及累计人数(即该分数及以上所有考生总数)。
























“一分一段”是以“一分”为单位,统计考得该分数的考生人数和累计人数,每一个分数段上有多少人一目了然。考生通过分数分布表可以查询到相关成绩在全市的排名位次,方便对自己进行定位。
青海考生和家长可以根据今年的“一分一段表”,充分了解自己的分数在今年的高考中处于什么位次,将位次对应到近3年的高考“一分一段表”中,查看它们分别对应什么分数,再把近3年各高校录取的分数分层次整理,就可以找出自己今年位次和分数适合填报的院校及专业范围。
考生在查找位次时,还要考虑所在位次的考生是否集中,如果自己所在位次同分数学生基数较大,在志愿填报时还要关注院校和专业志愿填报梯度,多维度分析自己的排名,考生要合理定位自己所处位置,做出更有利于自己的判断。