2025宁夏新高考八省联考适应性演练数学试题及答案解析

文/鲁映彤

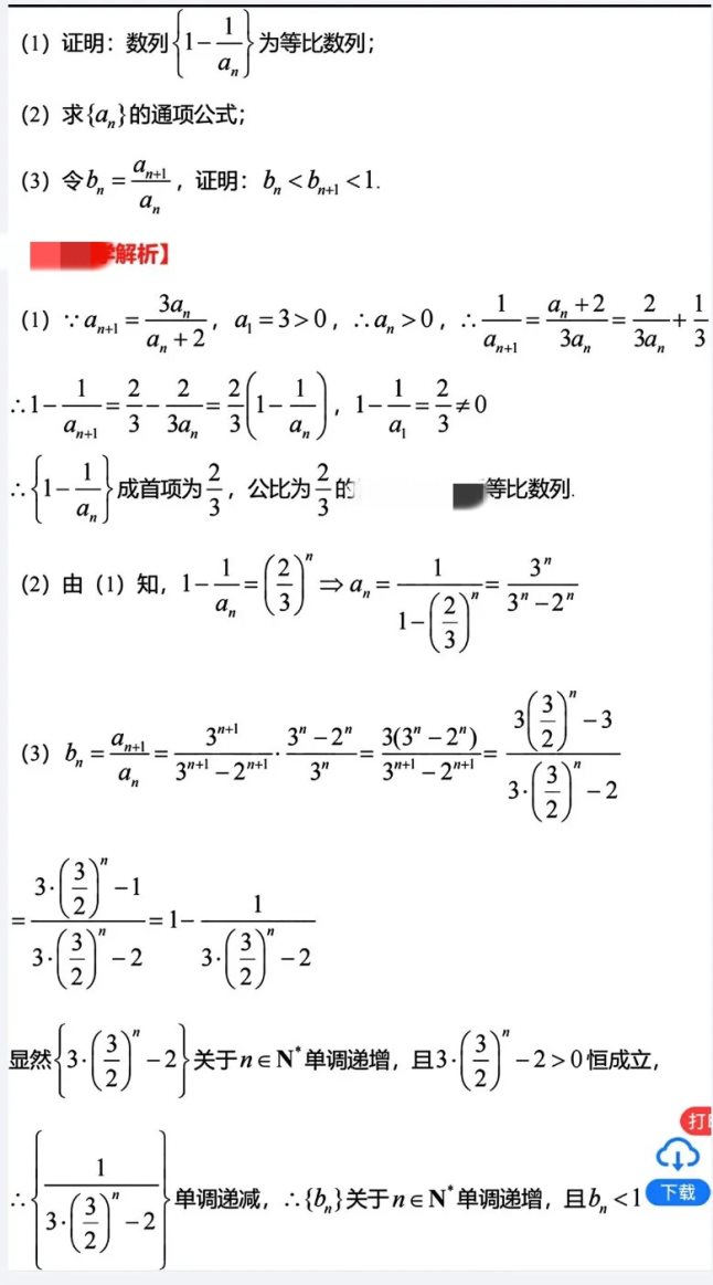
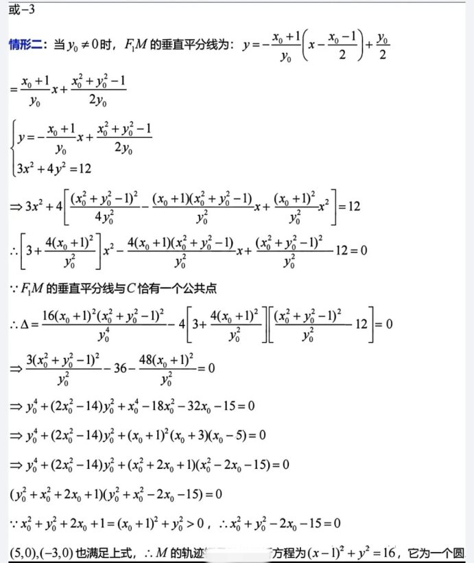
1

2

3

 

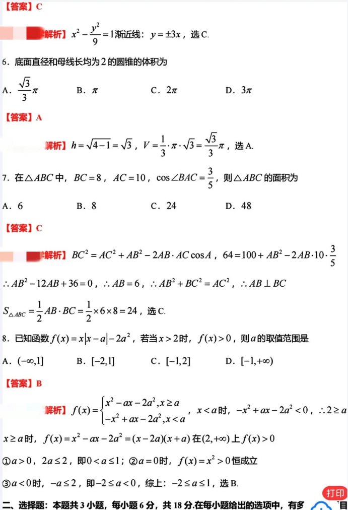
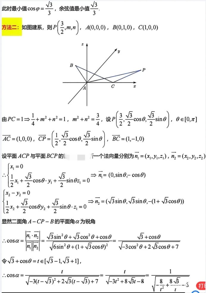
456789101112131415161718

猜你喜欢

2025云南新高考八省联考适应性演练数学试题及答案解析

2025-01-08

2025内蒙古新高考八省联考适应性演练数学试题及答案解析

2025-01-08

2025陕西新高考八省联考适应性演练数学试题及答案解析

2025-01-08

2025山西新高考八省联考适应性演练数学试题及答案解析

2025-01-08

2025四川新高考八省联考适应性演练数学试题及答案解析

2025-01-08

2025河南新高考八省联考适应性演练数学试题及答案解析

2025-01-07

2025年1月高三新高考八省联考适应性演练数学试题及答案

2025-01-06

2025甘肃高三高考一诊数学试题及答案参考

2025-01-03

河北名校联盟2025届高三一轮收官验收联考数学试题及答案

2024-12-30

2025广东高三衡水金卷12月份联考数学试题及答案解析

2024-12-25