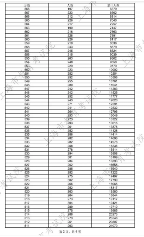
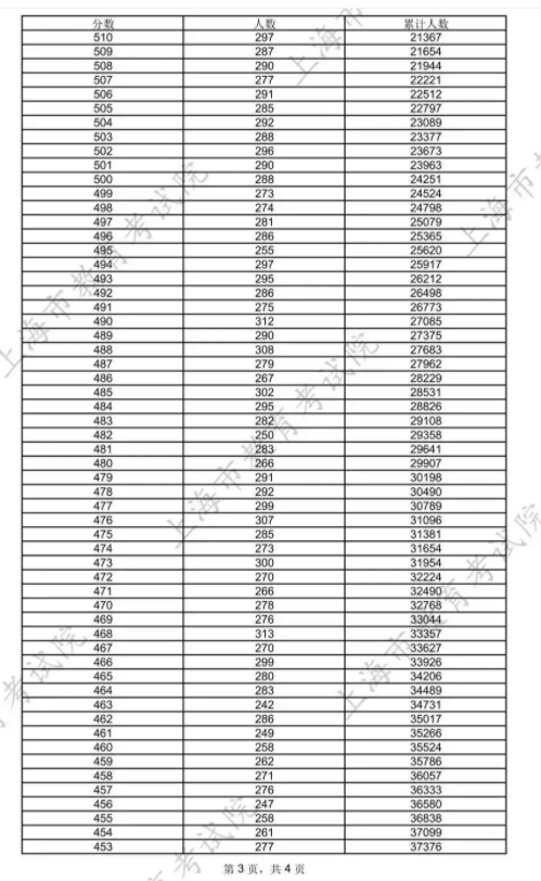
对于2026年上海高考考生而言,一分一段表是志愿填报的重要凭据,考生可以根据自己的位次和往年分数线,来科学的选择自己的目标高校与专业,也可以用来判断自己被心仪的高校录取的概率,降低自己退档的风险。下面为2025年高考一分一段表,为大家带来各分数对应位次排名情况:

以下是小编整理的2025上海高考一分一段表及位次排名完整版,供2026届考生参考!
上海2025年高考一分一段表:




精准定位自身位次
步骤:
1. 在一分一段表中纵向查找自己的分数,横向对应“累计人数”即为最低位次。
2. 若同分人数较多,需结合单科成绩排序规则(如语文、数学、外语等)进一步细化位次。示例:某省理科610分累计8500名,同分人数300人,则实际位次区间为8201-8500名。
对比目标院校录取位次
方法:
1. 收集目标院校近3年录取最低位次,计算位次波动区间(如±15%)。
2. 将自身位次与目标院校录取位次对比,判断录取概率。示例:考生位次5000名,若目标院校近3年录取位次在4500-5500名之间,则可将其纳入“稳妥层”;若录取位次在4000-4500名,则可作为“冲刺层”。
动态调整策略
招生计划变化:若目标院校扩招,可适当放宽位次范围。例如,某校扩招20%,则往年录取位次需乘以1.2作为参考。
专业级差与单科要求:部分院校对数学、英语等单科成绩有要求,需结合一分一段表中的单科排名综合评估。