2025洛阳职业技术学院中外合作办学专业有机电一体化技术、大数据技术等专业。2025洛阳职业技术学院中外合作办学学费:中外合作办学机电一体化专业12000元/生/年,中外合作办学大数据技术专业15000元/生/年。

物理类招生计划

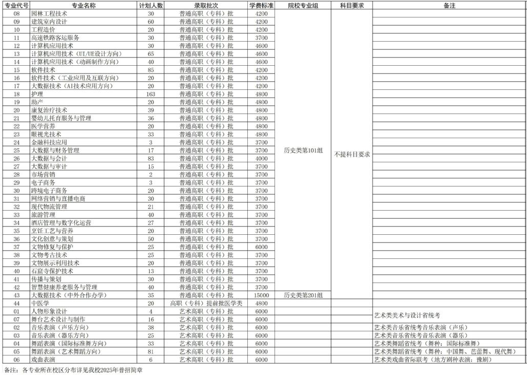
历史类招生计划

学校严格按照河南省教育厅、财政厅和发改委规定标准收取下列费用:
(一)学费标准
中外合作办学机电一体化专业12000元/生/年;中外合作办学大数据技术专业15000元/生/年。我校为河南省高职优质校,招生专业总数的10%以内的专业学费可上浮10%(收费标准详见招生专业一览表)。
(二)住宿费标准
伊滨校区(6人间)1200元/生/年;高新校区(7人间)400元/生/年;西工校区(6人间)480元/生/年,瀍河校区(6人间)500元/生/年。
河南省具体中外合作办学专业见附表。
| 专业代码 | 专业名称 | 学费(元/年) | 学制 |
| 460301H | 机电一体化技术(中外合作办学) | 12000 | 三年 |
| 510205 | 大数据技术(中外合作办学) | 15000 | 三年 |
洛阳职业技术学院(Luoyang Polytechnic)位于河南省洛阳市,是一所公办全日制普通高等职业院校、河南省优质高等职业院校、河南省文明校园、河南省职业教育特色院校。
学院前身为1945年成立的“豫西公学”(洛阳市财经学校前身)、1959年成立的洛阳市工人技术学校(后更名为洛阳高级技工学校)、1972年成立的洛阳市卫生学校和洛阳市第二卫生职业中等专业学校、1974年成立的洛阳地区文艺训练班(后更名为洛阳文化艺术学校)、1980年3月成立的洛阳市职工科学技术学院、1986年成立的洛阳市财会中等专业学校。