李华作为高考英语作文中延续30年的虚拟人物,其存在已成为中国考生的集体记忆符号,但近年来考生对其频繁出现的复杂情绪逐渐显现。“李华”再度现身高考英语作文,考生:不想再帮李华写信。

一、考生抗拒的根源
角色设定的荒诞性
李华被设定为1977年出生,2025年已48岁,却仍以“高三学生”身份存在,甚至在不同中学频繁转学。这种“永不毕业”的奇幻设定让考生感到脱离现实,戏称“建议他考成人自考”。部分考生认为其“需要代笔写信”的学渣属性与年龄形成强烈反差,质疑角色的可信度。30任务模式的固化与异化
传统代笔式写作(如建议信、邀请函)已被考生视为机械训练,而近年考题中李华的身份扩展至国际倡议者、校报编辑甚至“杠精”,要求考生处理更复杂的现实议题(如联合国青少年倡议、教授分组矛盾),开放性增强的同时也引发“过度介入他人事务”的吐槽。有考生直言:“教授的事你少管!
情感投射的割裂
李华承载着考生对青春的记忆,但长期高频出现导致情感疲劳。内蒙古考生在最后一次模考中用中文写信告别李华,获得满分评价,这种“浪漫告别”成为情感宣泄的出口。广州考生考后喊话“李华肯定考不上大学”,则将应试压力转化为黑色幽默。
二、转型期的集体告别
考生通过多种形式与李华“和解”:
戏谑解构:社交媒体出现“李华虚荣论”(“什么都不会还交外国朋友”)、“相亲需求”(“帮介绍帅哥”)等二次创作,消解严肃性。
仪式化终结:考生在作文结尾添加“Yours sincerely”签名时,将之视为“青春落款”。兰州考生直接宣告“再也不会帮你写信”,完成心理断离。
未来预言:上海交通大学发起“告别李华”活动,暗示高等教育阶段对其使命的终结。而“大学四六级还要写信”的调侃,折射对评价体系连贯性的担忧。
李华的持续存在,既是标准化考试传统的缩影,也是观察教育理念转型的窗口。考生“不想再帮李华写信”的呼声,实质是对评价模式创新、学习自主权提升的期待。这个虚拟人物终将随教育改革渐行渐远,但其承载的集体记忆,仍会在互联网亚文化中持续发酵。
假设你是红星中学高三学生李华。联合国正面向全球青少年开展倡议征集活动。你的外国好友Jim打算参加,为此发来邮件,就倡议内容询问你的建议。请你用英文给他回复,内容包括:
1. 提出的建议;
2. 建议的理由。
提示词:倡议 proposal
注意:
1.词数100左右;
2.开头和结尾已给出,不计入总词数。
(网络收集)2025年天津数学高考真题文字版
一、选择题:在每小题给出的四个选项中,只有一项是符合题目要求的.
1.已知全集
,集合
,
,则
A.![]()
B.![]()
C.![]()
D.![]()
2.设
,则“
”是“
”的 ( )
A.充分不必要条件
B.必要而不充分条件
C.充要条件
D.既不充分也不必要条件
3. 已知函数
的图象如下,则
的解析式可能为 ( )

A.![]()
B.
C.![]()
D.![]()
4.若
为直线,
为两个平面,则下列结论中正确的是( )
A.若
,
,则![]()
B.若
,
,则![]()
C.若
,
,则![]()
D.若
,
,则![]()
5.下列说法中错误的是( )
A.若
,则![]()
B.若
,
,则![]()
C.
越接近
,相关性越强
D.
越接近
,相关性越弱
6.
,则
的前
项和为( )
A.112
B.48
C.80
D.64
7.函数
的零点所在区间是( )
A.![]()
B.![]()
C.![]()
D.![]()
8.
,在
上单调递增,且
为它的一条对称轴,
是它的一个对称中心,当
时,
的最小值为( )
A.![]()
B.![]()
C.
D.![]()
9.双曲线
的左、右焦点分别为
,以右焦点
为焦点的抛物线
与双曲线在第一象限的交点为
,若
,则双曲线的离心率
( )
A.![]()
B.![]()
C.![]()
D.![]()
二、填空题:本大题共6个小题,每小题5分,共30分.
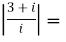
10.已知
是虚数单位,则
______.
11.在
的展开式中,
项的系数为______.
12.
与
轴交于点
,与
轴交于点
,与圆
交于
两点,
,则
______.
13.小桐操场跑圈,一周2次,一次5圈或6圈。第一次跑5圈或6圈的概率均为0.5,若第一次跑5圈,则第二次跑5圈的概率为0.4,6圈的概率为0.6;若第一次跑6圈,则第二次跑5圈的概率为0.6,4圈的概率为0.4。小桐一周跑11圈的概率为__________;若一周至少跑11圈为运动量达标,则连续跑4周,记合格周数为
,则期望
__________。
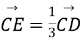
14.
中,
为
边中点,
,
,
,则
__________;若
且
,则
__________。
15.若
,对
,均有
恒成立,则
的最小值为__________。
16.(本题满分14分)
在
中,角
的对边分别为
。已知
,
,
。
(I)求
的值;
(II)求
的值;
(III)求
的值。
17.(本题满分15分)
正方体
的棱长为4,
分别为
中点,
。
(I)求证:
平面
;
(II)求平面
与平面
夹角的余弦值;
(III)求三棱锥
的体积。
18.(本题满分15分) 已知椭圆
的左焦点为
,右顶点为
,
为
上一点,且直线
的斜率为
,
的面积为
,离心率为
。 (I)求椭圆的方程; (II)过点
的直线与椭圆有唯一交点
(异于点
),求证:
平分
。
19.(本题满分15分)
是等差数列,
是等比数列,
,
,
。 (I)求
,
的通项公式; (II)
有
,
。 (i) 求证:
,均有
; (ii) 求
所有元素之和。
20.(本题满分16分) 已知函数
。 (I)
时,求
在点
处的切线方程; (II)
有
个零点
,且
。 (i) 求
的取值范围; (ii) 证明:
。