2025内蒙古高考数学试题 (网传版 全国二卷+新高考II卷)

文/董慧

(网络收集)2025年全国二卷数学高考真题文字版

  1. 2,8,14,16,20平均数为
    A.IMG_257
    B.IMG_258
    C.IMG_259
    D.IMG_260
    2. IMG_261IMG_262
    A.IMG_263
    B.IMG_264
    C.IMG_265
    D.IMG_266
    3. IMG_267IMG_268IMG_269
    A.IMG_270
    B.IMG_271
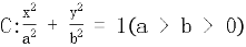
    C.IMG_272
    D.IMG_273
    4. IMG_274解集是
    A.IMG_275
    B.IMG_276
    C. IMG_257

D.IMG_256
5. IMG_279IMG_280IMG_281IMG_282IMG_283
A.IMG_284
B.IMG_285
C.IMG_286
D.IMG_287
6. 抛物线IMG_256焦点IMG_289IMG_290,过IMG_291IMG_292准线的垂线,垂足为IMG_293。若IMG_294,则IMG_295
A.IMG_296
B.IMG_297
C.IMG_298
D.IMG_299
7. IMG_300为等差数列IMG_301IMG_302项和,IMG_303IMG_304IMG_305
A.IMG_306
B.IMG_307
C.IMG_308
D.IMG_309
8. IMG_256IMG_311IMG_312
A.IMG_256
B.IMG_257
C.IMG_258
D.IMG_259
9. IMG_317为等比数列IMG_318IMG_319项和,IMG_320IMG_321公比IMG_256,则
A.IMG_325
B.IMG_326
C.IMG_327
D.IMG_328
10. IMG_329定义在IMG_330上奇函数,x>0时,IMG_332,则
A.IMG_333
B. 当x<0时,IMG_335
C.IMG_336当且仅当IMG_337
D.IMG_338IMG_339极大值点
11. 双曲线IMG_256左、右焦点为IMG_341,左、右顶点为IMG_342。以IMG_343为直径的圆与IMG_344的一条渐近线交于IMG_345,且IMG_256,则
A.IMG_347
B.IMG_348
C.IMG_349离心率为IMG_350
D. 当IMG_351时,四边形IMG_352面积为IMG_353

12.,则____

13.极值点,则____

14.一个底面半径为,高为的封闭圆柱形容器,内有两个半径相等的铁球,则铁球半径的最大值为____

15.

(1) 求

(2),求值域和单调区间。

16.椭圆的离心率为,长轴长为

 (1) 求的方程。

 (2) 过点的直线交于为坐标原点,若,求

17.如图,四边形中,中点,上,。将四边形沿翻折至四边形,使得面与面所成的二面角为

(1) 证明:平面

(2) 求面与面所成二面角的正弦值。

18.

(1) 证明:存在唯一极值点和唯一零点。

(2) 设的极值点和零点。

(i),证明:单减

 (ii) 比较的大小,并证明。

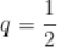
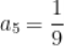
19.甲、乙乒乓球练习,每个球胜者得分,负者得分,设每个球甲胜概率为),乙胜概率为,且各球胜负独立。对正整数,记为打完个球后甲比乙至少多得分的概率,为打完个球后乙比甲至少多得分的概率。

(1) 求(用表示)。

(2) 若,求

(3) 证明:对任意正整数 。(2)求面IMG_292与面IMG_293所成二面角的正弦值.

猜你喜欢

内蒙古文科274分能考哪些大学 2025考生稳上的大学名单

2025-06-08

内蒙古文科246分能考哪些大学 2025考生稳上的大学名单

2025-06-08

内蒙古理科332分能考哪些大学 2025考生稳上的大学名单

2025-06-07

内蒙古理科306分能考哪些大学 2025考生稳上的大学名单

2025-06-07

内蒙古理科284分能考哪些大学 2025考生稳上的大学名单

2025-06-07

2025内蒙古高考语文试题 (网传版 全国二卷+新高考II卷)

2025-06-07

内蒙古文科489分能考哪些大学 2025考生稳上的大学名单

2025-06-07

内蒙古文科413分能考哪些大学 2025考生稳上的大学名单

2025-06-07

内蒙古理科300分能考哪些大学 2025考生稳上的大学名单

2025-06-07

内蒙古文科407分能考哪些大学 2025考生稳上的大学名单

2025-06-07