(网络收集)2025年全国二卷数学高考真题文字版
D.![]()
5.
,
,
,
,
A.
B.
C.
D.
6. 抛物线
焦点
,
,过
作
准线的垂线,垂足为
。若
,则
A.
B.
C.
D.
7.
为等差数列
前
项和,
,
,
A.
B.
C.
D.
8.
,
,
A.![]()
B.![]()
C.![]()
D.![]()
9.
为等比数列
前
项和,
为
公比
,则
A.
B.
C.
D.
10.
定义在
上奇函数,x>0时,
,则
A.
B. 当x<0时,
C.
当且仅当
D.
是
极大值点
11. 双曲线
左、右焦点为
,左、右顶点为
。以
为直径的圆与
的一条渐近线交于
,且
,则
A.
B.
C.
离心率为
D. 当
时,四边形
面积为![]()
12.
,
,
,则
____
13.
是
极值点,则
____
14.一个底面半径为
,高为
的封闭圆柱形容器,内有两个半径相等的铁球,则铁球半径的最大值为____
。
15.
,
(1) 求
。
(2)
,求
值域和单调区间。
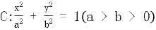
16.椭圆
的离心率为
,长轴长为
。
(1) 求
的方程。
(2) 过点
的直线
与
交于
,
为坐标原点,若
,求
。
17.如图,四边形
中,
,
,
为
中点,
在
上,
,
,
。将四边形
沿
翻折至四边形
,使得面
与面
所成的二面角为
。

(1) 证明:
平面
。
(2) 求面
与面
所成二面角的正弦值。
18.
,
。
(1) 证明:
在
存在唯一极值点和唯一零点。
(2) 设
为
在
的极值点和零点。
(i)
,证明:
在
单减
(ii) 比较
与
的大小,并证明。
19.甲、乙乒乓球练习,每个球胜者得
分,负者得
分,设每个球甲胜概率为
(
),乙胜概率为
,
,且各球胜负独立。对正整数
,记
为打完
个球后甲比乙至少多得
分的概率,
为打完
个球后乙比甲至少多得
分的概率。
(1) 求
(用
表示)。
(2) 若
,求
。
(3) 证明:对任意正整数
,
。(2)求面
与面
所成二面角的正弦值.