2025年北京高考科目顺序为:6月7日考语文和数学,6月8日考外语(含听力),6月9日至10日考选考的学考等级科目(思想政治、历史、地理、物理、化学、生物中的3门)。总成绩由语文、数学、外语(满分各150分)和3门选考科目(满分各100分)组成,总分750分。

一、普通高等学校招生全国统一考试
6月7日
09:00 - 11:30:语文
15:00 - 17:00:数学
6月8日
09:00 - 11:30:文科综合/理科综合(注意:此时间可能与部分来源信息有出入,但根据最新信息,6月8日上午为文/理综合考试)
15:00 - 17:00:外语(含听力测试,听力测试一般安排在外语笔试开始前)
二、普通高中学业水平等级性考试
6月9日
08:00 - 09:30:物理
11:00 - 12:30:思想政治
15:30 - 17:00:化学
6月10日
08:00 - 09:30:历史
11:00 - 12:30:生物
15:30 - 17:00:地理
请注意,虽然大部分信息已经明确,但具体日程可能会根据官方考试院的最终公布有所调整。建议您密切关注北京市教育考试院或相关官方渠道的最新通知,以确保获取最准确的信息。
北京高考等级赋分对照表
2025年北京高考等级赋分表采用5等21级制,选考科目(物理、化学、生物、政治、历史、地理)按考生原始成绩排名比例划分等级并转换为100-40分的赋分区间,具体等级比例及赋分区间为:A等级(前15%)赋分100-86分,B等级(16%-50%)赋分85-71分,C等级(51%-85%)赋分70-56分,D等级(86%-98%)赋分55-41分,E等级(后2%)赋分40分及以下。
等级划分与比例
选考科目成绩按考生原始分排名比例划分为5个等级,每个等级再细分为若干子级(共21级),各等级人数占比及赋分区间如下:
A等级:前15%,赋分区间100-86分(如A1级100分,A2级97分等)。
B等级:16%-50%,赋分区间85-71分。
C等级:51%-85%,赋分区间70-56分。
D等级:86%-98%,赋分区间55-41分。
E等级:后2%,赋分40分及以下。
统一高考科目
统一高考科目包括语文、数学和外语,每门科目满分均为150分,共计450分12。
学业水平等级考试科目
考生需要从思想政治、历史、地理、物理、化学、生物6门科目中选择3门参加考试,每门科目满分100分,共计300分12。
分数计算方式
原始成绩排名:根据考生的原始成绩,计算出在全省范围内的排名。
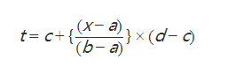
划分等级:将考生按照总人数划分为五个等级(A、B、C、D、E),其中A、B、C、D四个等级内又进一步细分为五个小等级。E等级只有一个等级34。
转换为等级分:在每个等级内,根据考生的原始成绩进行分段,依照一定的赋分区间,将分数转换成相应的等级分。具体计算公式为:

其中,(x) 是原始成绩,([a, b]) 是原始成绩所在等级的区间,([c, d]) 是该等级对应的赋分区间。