2025年重庆高考总分为750分。语数外分别为150分,物理/历史满分均为100分,思想政治/地理/化学/生物满分均为100分。重庆新高考等级赋分制度把再选科目的成绩划分为A、B、C、D、E五个等级。

重庆市统一高考实行“3+1+2”模式,即全国统一考试语文、数学、外语(含听力,下同)3科以及考生从普通高中学业水平选择性考试6科中选择的3科。在普通高中学业水平选择性考试中,物理、历史为首选科目,考生只能且必须选择其中1科报考;思想政治、地理、化学、生物学4科为再选科目,考生只能且必须选择其中2科报考。
统一高考总成绩由全国统一考试的语文、数学、外语3科成绩和学业水平选择性考试首选科目1科、再选科目2科成绩组成,总分满分为750分。
其中,全国统一考试科目语文、数学、外语满分均为150分,总分满分450分;学业水平选择性考试每科原始分值满分均为100分,首选科目成绩以原始分计入总成绩,再选科目成绩以等级转换分(每科满分仍为100分)计入总成绩,总分满分300分。
2025年重庆新高考赋分是依据考生单科原始成绩在全市同科考生中的排名情况来确定的。具体计算方法如下:
首先,将全市选考某一科目的考生成绩从高到低排序。然后,按特定比例划分等级,比如划分为A、B、C、D、E等若干等级。
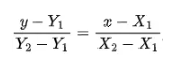
每个等级有对应的赋分区间,例如A等级赋分区间是[91-100],B等级是[81-90],C等级是[71-80],D等级是[61-70],E等级是[41-60]。若某考生单科原始分处于某一等级内,设该等级原始分区间下限为X1,上限为X2,其对应的赋分区间下限为Y1,上限为Y2,考生原始分是x,则赋分y的计算公式为:

通过此公式完成原始分向赋分的转换。原始分越高并不一定意味着赋分越高。这主要是因为赋分取决于排名。
模拟考试和真题练习
模拟考试和真题练习是高考前复习的重要环节。通过模拟考试可以让你熟悉考试形式和题型,提高应对能力。同时,通过真题练习可以让你了解历年考试的难点和重点,有针对性地进行复习。在模拟考试和真题练习中,要注意时间的掌控和答题技巧的运用,不断提高自己的应试能力。
寻求帮助和答疑解惑
在复习过程中遇到困难时,要积极寻求帮助和答疑解惑。可以向老师、同学或家长请教问题,共同探讨解决问题的方法。同时,可以参加一些答疑班或辅导班,获取更多的学习资源和指导。在寻求帮助时,要选择可靠的学习资源和学习渠道,避免被不良信息误导。