2025福建高考采用“3+1+2”的模式。其中,3指的是语文、数学、外语三门科目,每门满分150分,总分为450分。1指的是物理和历史两门科目中选择一门,满分为100分,以原始分计入;2指的是思想政治、地理、化学、生物四门科目中选择两门,每门满分100分,但以等级转换分计入高校招生录取总成绩。

2025年福建普通高考科目实行“3+1+2”模式,由全国统一高考科目和我省普通高中学业水平选择性考试科目组成。全国统一高考科目为语文、数学、外语(含英语、俄语、日语、法语、德语、西班牙语等6个语种)3门。
其中,外语科目选考英语或日语的考生,拟报考高校外语专业的应参加全省统一组织的外语口试,具体安排由省教育考试院另行通知)。选择性考试科目由考生在物理、历史2门中选择1门,在思想政治、地理、化学、生物学4门中选择2门。
其中语文、数学、外语:每门满分均为150分,总分450分。这三门科目是所有考生必考的,以原始分计入高考总分。物理或历史:考生需从这两门中选择一门,满分100分,同样以原始分计入高考总分。
思想政治、地理、化学、生物:考生需从这四门中选择两门,每门满分均为100分,但这些科目的成绩是以等级转换分计入高考总分的。
赋分计算步骤如下:
成绩排序:将全体考生在各选考科目(思想政治、地理、化学、生物,四选二)的原始成绩从高到低排序。
等级划分:根据排序结果,按照比例将考生成绩划分为A、B、C、D、E五个等级。例如,排名前15%的考生属于A等级,排名在前15%至50%之间的考生属于B等级,依此类推。
赋分转换:依据等比例转换法则,将考生的原始分转换为等级分。
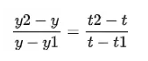
转换公式为:

采用等比例转换法则进行计算;
设原始分区间的上限为y2,下限为y1;
转换分区间的上限为t2,下限为t1;原始分为y,转换分(即赋分后的成绩)为t;
计算结果按“四舍五入”处理,以整数呈现。
1. 制定合理的复习计划:根据自己的学习情况,制定详细的复习计划,包括每天要复习的科目、知识点以及复习方法。确保计划既有广度也有深度,覆盖所有科目,同时突出重点难点。
2. 强化基础知识:回归教材,系统复习各科基础知识,查漏补缺。对于薄弱环节,要加大力度进行专项训练,确保基础扎实。