浙江2025年新高考采用“3+3”模式。考生需参加语文、数学、外语三门全国统一考试科目,以及三门选考科目。全国统一考试科目每门满分150分,总分450分,原始分计入总成绩。选考科目则包括思想政治、历史、地理、物理、化学、生物六门中的任意三门,每门满分100分,通过等级赋分计入总成绩。

浙江高考“3+3”模式是指考生总成绩由语文、数学、外语三门必考科目成绩和从七门选考科目中选择的三门科目成绩组成。这一模式打破了传统的文理科界限,为考生提供了更加灵活多样的选择空间。
具体来说,语文、数学、外语三门必考科目将按照全国统一高考的要求进行命题和考试,每门科目的满分均为150分。而选考科目则采用等级赋分制,每门科目的满分均为100分。考生可以根据自己的兴趣和特长,在七门选考科目中任选三门进行考试。
总的来说,浙江高考采取“3+3”模式,总分为750分。考生总分由语文、数学、外语三门必考科目成绩和考生自主选择的三门学业水平考试选择性考试科目成绩组成。
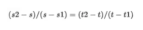
在2025年浙江新高考中,赋分制度主要应用于选考科目,每门科目满分100分,起点赋分40分。根据该制度,首先将所有考生的卷面成绩从高到低排序,并划分出20个赋分区间,每个区间对应一个分数段。这些区间从100-97分(第1区间)到42-40分(第20区间),相邻区间的最低分和最高分差1分。
公式为:

赋分的计算采用等比例转换公式。设s2、s1为卷面得分区间的上限和下限,s为待转换卷面得分;t2、t1为赋分区间的上限和下限,t为卷面得分等比例转换后的赋分。例如,某考生的化学科目卷面成绩为83分,通过查找相应的赋分区间和卷面得分区间,代入公式计算后,得出的赋分成绩为86分(四舍五入后)。
高考真题模拟训练
考前这几天,考生就不要做再模拟题了,要把重点放在高考历年真题上。考生要深入研究高考真题的出题思路和命题规律,同时每天按照高考各科目对应的考试时间进行模拟考试训练。一般来说,近两年的真题参考价值会更高,选择近两年的高考真题进行考前模拟训练最为适宜。
调整作息时间
高考不仅考验知识储备,也是对考生体力的考验。临近高考这几天要保证充足的睡眠,不要熬夜。保持规律的作息时间,让大脑得到充分的休息和放松,能极大地提高考生的复习效率,让考生在有限的时间内取得最佳的复习效果。