2025河北高考采用“3+1+2”模式,总分为750分,语文、数学、外语每科满分均为150分,总分450分。1指的是物理、历史这两科中选择一科,原始分计入考生总分,满分为100分。2指的是考生从化学、生物、地理、政治四科中选择两科,通过等级分配将分数计入考生总分,每门满分均为100分。

河北新高考采取3+1+2高考模式,不分文理科。其中“3”指的是:中文、数学、外语。“1”指:物理、历史这两科中选择一科;“2”指:考生从化学、生物、地理、政治四科中选择两科。
1、统考科目:语文、数学、外语3门,每门150分,均以原始分计入。其中外语听力考试满分30分,取两次听力考试的最高成绩与其他部分试题成绩一同组成外语科目成绩计入高考总分。
注:外语科目分为英语、俄语、日语、德语、法语、西班牙语等6个语种,考生任选其中1个语种参加考试。
2、首考科目:物理、历史2门,每门满分均为100分,考生必须从物理、历史两科中选择一科,原始分计入考生总分;
3、选考科目:化学、生物、地理、政治4门,每门满分均为100分,考生必须从四门科目中选择两科,通过等级分配将分数计入考生总分;
2025年河北新高考赋分是依据考生单科原始分在全省同科考生中的位置来确定的。具体计算流程如下:
首先,将全省参加某一科目的考生原始成绩从高到低进行排序。之后,按照特定比例划分等级
A等级(15%):100-86分
B等级(35%):85-71分
C等级(35%):70-56分
D等级(13%):55-41分
E等级(2%):40-30分
赋分计算步骤如下:
成绩排序:将全体考生在各选考科目(思想政治、地理、化学、生物)的原始成绩从高到低排序。
等级划分:根据排序结果,按照比例将考生成绩划分为A、B、C、D、E五个等级。例如,排名前15%的考生属于A等级,排名在前15%至50%之间的考生属于B等级,依此类推。
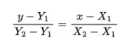
赋分转换:依据等比例转换法则,将考生的原始分转换为等级分。转换公式较为复杂,但核心思想是根据考生在等级内的相对位置,结合赋分区间的最高分和最低分,计算出考生的赋分成绩。

若某考生的单科原始分处于某一等级范围内,设该等级原始分区间下限为x1,上限为x2,其对应的赋分区间下限为Y1,上限为Y2,考生原始分是x,则赋分的计算公式为:y。通过这个公式,将考生的原始分转换为赋分。