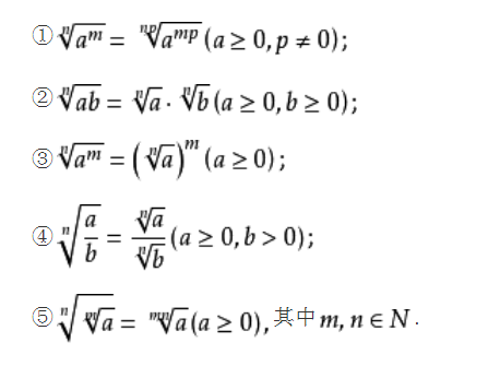
根号,这一数学符号,用于表示对数值或代数式进行开方运算。关于根号的运算法则,当进行相乘运算时,两个带有平方根的数相乘,其结果等于根号下这两数乘积的简化形式;而在进行相除运算时,则是根号下两数商的简化形式。


根号,作为数学中的一个重要符号,专门用于表示对数值或代数式的开方运算。在实数范畴内,需注意的是,偶次根号下不允许出现负数,且其运算结果也必为非负。而奇次根号下则可以为负数。
若aⁿ=b,则表明a是b的n次方根,或表述为a是b的1/n次方。在进行开n次方运算时,无论是手写体还是印刷体,被开方的数或代数式均应写在符号√ ̄的右侧及上方横线的下方所共同围成的区域内,且不可超出此界限。